mercoledì 21 gennaio 2026

Prestazioni meccaniche migliorate dei compositi fluoroelastomerici con filler di boro-gadolinio per applicazioni avanzate

Estratto:  notevole interesse per i materiali con proprietà multifunzionali ad alte prestazioni, unito alla diversificata disponibilità di materie prime – nonostante le controversie geopolitiche – consente la progettazione di un'ampia varietà di nuovi materiali. I materiali flessibili con cariche inorganiche derivate da terre rare sono di particolare interesse, poiché elementi come il gadolinio presentano molteplici proprietà di elevato interesse tecnologico. In particolare, gli ossidi e i borati di gadolinio non sono stati esplorati come cariche in gomme speciali, come i fluoroelastomeri FKM, che corrispondono a copolimeri a base di esafluoropropilene e difluorovinilidene. È in questo contesto che il presente lavoro consiste nell'ottenere e caratterizzare composti a base di FKM contenenti ossido di gadolinio(III), borato di gadolinio o borato di gadolinio trattato termicamente. I risultati promettenti ci permettono di identificare le qualità uniche conferite da questo tipo di carica nei fluoroelastomeri, soprattutto per quanto riguarda le proprietà meccaniche. Infatti, l'aumento della resistenza a trazione dei composti ha raggiunto fino al 162%. Allo stesso modo, l'allungamento a rottura è risultato quasi raddoppiato. Il DMA ha identificato che l'effetto rinforzante dei composti del gadolinio è limitato; si ipotizza che la natura elettronica del gadolinio, con i suoi orbitali f disponibili, influenzi la struttura dell'FKM e, di conseguenza, le sue proprietà. Nel complesso, questi risultati forniscono informazioni rilevanti per lo sviluppo di nuovi materiali che, grazie alla loro composizione a base di boro e gadolinio – entrambi elementi con elevate sezioni d'urto di cattura neutronica – potrebbero essere utilizzati in applicazioni di schermatura neutronica.

(https://www.mdpi.com/2073-4360/18/1/6)


Abstract grafico

1. Introduzione

Gli elastomeri sono materiali polimerici versatili, indispensabili nella vita moderna, con applicazioni che spaziano dalla tecnologia e dall'industria alla sfera domestica. Questa ubiquità è dovuta alle loro proprietà meccaniche uniche, come flessibilità, viscoelasticità e facilità di lavorazione [ 1 , 2 ]. Tra questi, spiccano i fluoroelastomeri, classificati come FKM dall'ASTM [ 3 ]. Si tratta di copolimeri casuali a base di esafluoropropilene e difluorovinilidene. Questi materiali non sono solo notevoli per le loro proprietà meccaniche superiori e l'ampio intervallo di temperature di servizio, ma anche per la loro maggiore capacità di attenuare le radiazioni gamma rispetto agli elastomeri convenzionali [ 4 , 5 ].
Per migliorare le loro prestazioni in applicazioni specifiche, come la protezione dalle radiazioni, l'incorporazione di riempitivi inorganici in matrici elastomeriche è stata ampiamente studiata. La ricerca attuale in questo campo si è concentrata principalmente sull'uso di riempitivi con un elevato numero atomico (Z), come l'ossido di bismuto (Bi2O3 o l'ossido di piombo (PbO), ottenendo significativi aumenti di densità e, quindi, nell'attenuazione dei raggi gamma [ 6 , 7 , 8 , 9 ]. Tuttavia, questi approcci presentano limitazioni intrinseche, come il deterioramento delle proprietà meccaniche ad alti livelli di riempitivo, problemi di dispersione e omogeneizzazione del riempitivo all'interno della matrice polimerica e, in alcuni casi, considerazioni ambientali e tossicologiche. Allo stesso tempo, vi è un crescente interesse nell'esplorazione dei materiali delle terre rare come riempitivi funzionali grazie alle loro proprietà magnetiche e ottiche, nonché alla loro capacità di modulare le proprietà meccaniche. Ad esempio, è stato riportato che il trimetacrilato di lantanio (La-TMA) aumenta significativamente la resistenza alla trazione e l'allungamento nelle matrici PP/EPDM, dimostrando il potenziale di questi elementi per rinforzare gli elastomeri oltre la loro funzione di schermatura dalle radiazioni [ 10 ]. È stata inoltre riportata la preparazione di elastomeri siliconici con terre rare (Eu 2 O 3 , Gd 2 O 3 e Dy 2 O 3 ), che hanno mostrato proprietà di luminescenza e cambiamenti nelle loro proprietà dielettriche [ 11 ].
Tra le terre rare, il gadolinio è di particolare interesse per le applicazioni che interagiscono con le radiazioni ionizzanti, in quanto ha la più alta sezione d'urto di cattura dei neutroni termici di tutti gli elementi stabili (σ_a = 49.700 barn) [ 12 , 13 ]. Sebbene i composti di gadolinio abbiano dimostrato buone prestazioni in varie applicazioni, come l'illuminazione, l'elettronica e il magnetismo [ 14 , 15 , 16 , 17 , 18 , 19 , 20 ], la loro incorporazione sistematica come riempitivi in ​​elastomeri avanzati, e più specificamente nei fluoroelastomeri, è un'area di ricerca poco esplorata. Inoltre, la combinazione sinergica del gadolinio con un altro elemento con elevata cattura dei neutroni, come il boro, per progettare riempitivi ibridi (ad esempio, borati di gadolinio) per matrici elastomeriche flessibili rappresenta un'innovazione con potenziale multifunzionale che non è stata documentata in modo esaustivo nella recente letteratura scientifica.
In questo contesto, la presente ricerca affronta le seguenti lacune conoscitive: (i) la mancanza di studi sull'effetto degli ossidi, e in particolare dei borati di gadolinio, sulle proprietà termomeccaniche e dinamico-meccaniche dei fluoroelastomeri; e (ii) la necessità di sviluppare metodologie di sintesi e dispersione per questi nuovi filler ibridi. L'innovazione di questo lavoro risiede nella progettazione, nella sintesi per coprecipitazione di ossido di gadolinio (III) e borato di sodio e nella caratterizzazione completa di tre tipi di filler (ossido di gadolinio, borato di gadolinio e borato di gadolinio trattato termicamente) all'interno di un FKM. L'obiettivo principale è stabilire criteri di produzione e valutare sistematicamente se l'incorporazione di questi filler a base di gadolinio e boro comprometta o migliori le proprietà intrinseche della matrice, analizzando non solo il loro possibile effetto sull'interazione con le radiazioni, ma anche il loro impatto sulle proprietà meccaniche, dinamico-meccaniche, termiche e strutturali del composito finale.

2. Materiali e metodi

2.1 Materiali

Il fluoroelastomero, vinilidenfluoruro ed esafluoropropilene (DFV/HFP) utilizzato è stato FKM C60 fornito da Jiangsu FreChem Co., Ltd. (Nanchino, Cina). Nanoparticelle di ossido di gadolinio, GdO (99,9%, dimensione delle particelle 90-120 nm), nitrato di gadolinio esaidrato, acido borico, idrossido di sodio, ossido di magnesio (MgO), idrossido di calcio (Ca(OH) 2 ), 2,2-bis(4-idrossifenil) esafluoropropano (Bisfenolo AF) e cloruro di benziltrifenilfosfonio (BPP) ed etanolo (99,9%) sono stati acquistati da Sigma Aldrich (St. Louis, MO, USA).

2.2. Preparazione di materiali a base di gadolinio

Il borato di gadolinio è stato preparato mescolando una soluzione acida (pH = 1) di nitrato di gadolinio esaidrato 0,1 M e una soluzione di acido borico 0,1 M. Entrambe le soluzioni sono state miscelate in parti uguali sotto costante agitazione a temperatura ambiente. La soluzione è stata quindi portata a pH = 7 aggiungendo lentamente idrossido di sodio 0,1 M. Quando è stato raggiunto un pH prossimo a 7, si è formato un precipitato bianco, che è stato separato dal surnatante e lasciato essiccare per 12 ore a 105 °C. Una volta essiccato, il campione è stato diviso in due parti uguali. Una parte è stata messa da parte ed etichettata GdB. L'altra parte è stata sottoposta a trattamento termico consistente in una rampa di riscaldamento di 5 °C/min fino a 400 °C, mantenendo questa temperatura per 4 ore. Dopo questo periodo, il campione è stato lasciato raffreddare ed è stato etichettato GdBT.

2.3. Preparazione di compositi a base di FKM

I materiali in polvere GdO, GdB e GdBT sono stati utilizzati come riempitivi nel fluoroelastomero FKM. La miscelazione è stata effettuata utilizzando un mulino a due cilindri ZL-3018 di Zhongli Instrument Technology Co. Ltd. (Dongguan, Cina); la Figura 1 presenta uno schema della preparazione dei compositi. Per effettuare la miscelazione, 100 g di FKM C60 sono stati lavorati per 5 minuti per ottenere un nastro omogeneo nei due cilindri, con una distanza di 1 mm tra loro. Quindi, sono state aggiunte lentamente quantità determinate di ossido di magnesio (II) e idrossido di calcio (II), seguite dal riempitivo, e la miscela è stata lavorata per 20 minuti per ottenere una dispersione omogenea. Successivamente, sono stati aggiunti gli agenti indurenti, bisfenolo AF e PPB, e la miscela è stata lavorata per 10 minuti. Le quantità di agenti indurenti utilizzate in tutte le formulazioni erano 6 phr di idrossido di calcio, 3 phr di ossido di magnesio e 2 phr di bisfenolo A per tutti i campioni preparati. Il contenuto di riempitivo variava in proporzioni di 5, 10, 15, 20 e 25 phr. La nomenclatura dei campioni consisteva nell'indicare la matrice (FKM), il tipo di riempitivo utilizzato (GdO, GdB o GdBT) e la sua proporzione corrispondente.
Figura 1. Diagramma schematico della preparazione del composito.
Le condizioni per il processo di reticolazione sono state determinate utilizzando un reometro a matrice mobile, modello ZL-3001, Zhongli Instrument Technology Co. Ltd. (Dongguan, Cina), a 175 °C, per 10 minuti. La reticolazione dei compositi a base di FKM è stata eseguita utilizzando una pressa idraulica da laboratorio con piastre riscaldate, modello ZL-3022, Zhongli Instrument Technology Co. Ltd. (Dongguan, Cina). Le condizioni selezionate per la reticolazione dei compositi a base di FKM erano 175 °C per 12 minuti. I compositi sono stati sottoposti a processi di post-reticolazione in un forno, Memmert (Buchenbach, Germania), a 200 °C per 24 ore per ottenere le massime proprietà fisiche.

2.4. Caratterizzazione dei materiali in polvere

I materiali GdO, GdB e GdBT sono stati caratterizzati utilizzando uno spettrometro modello FT/IR-4X, Jasco (Tokyo, Giappone), per l'analisi infrarossa in modalità di riflessione totale attenuata (FTIR-ATR). Gli spettri sono stati registrati nell'intervallo da 500 a 4000 cm -1 . Questi materiali sono stati inoltre caratterizzati mediante diffrazione di raggi X su polveri (PXRD) a temperatura ambiente su un diffrattometro Bruker D8 Advance in geometria Bragg-Bretano, dotato di una sorgente di radiazione CuKα in un intervallo di 5° < 2θ < 80°. Inoltre, per la distribuzione granulometrica, i materiali in polvere sono stati caratterizzati utilizzando un analizzatore granulometrico 90Plus, Brookhaven (New York, NY, USA), utilizzando una soluzione di etanolo e le polveri utilizzate come riempitivo a 0,01 g/mL.

2.5. Caratterizzazione dei compositi fluoroelastomerici in polvere

Le curve di polimerizzazione dei composti sono state determinate utilizzando un reometro a matrice mobile (modello ZL-3001, Zhongli Instrument Technology Co. Ltd., Dongguan, Cina) a 175 °C. L'analisi è stata eseguita secondo gli standard GB/T 16584 e ISO 6504 [ 21 , 22 ]. Circa 4 g di materiale sono stati pesati e posizionati in una camera del reometro per 15 minuti a 175 °C; l'arco di oscillazione era di 1,0° e la frequenza della matrice della cavità era di 1,7 Hz. Tutti i campioni sono stati misurati in triplicato. Il test di sforzo-deformazione è stato determinato utilizzando uno strumento Shimadzu EZ-X L 200 V (Shimadzu, Kyoto, Giappone) con una cella di carico da 500 N a 100 mm/min secondo lo standard ASTM (ASTM D412) [ 23 ].
La morfologia dei punti di rottura dei campioni di FKM e di compositi FKM è stata analizzata utilizzando un microscopio elettronico a scansione a emissione di campo (FESEM) GeminiSEM 360 Gemini 1 (Carl Zeiss, Oberkochen, Germania).
Le proprietà termiche sono state determinate mediante analisi termogravimetrica (TGA) utilizzando un analizzatore termogravimetrico Netzsch (Selb, Germania) modello Iris TG 209 F1 in atmosfera di azoto a una velocità di riscaldamento di 10 °C/min. L'intervallo di temperatura di esercizio è stato impostato tra 25 e 900 °C. La calorimetria differenziale a scansione (DSC) dei diversi compositi FKM è stata eseguita utilizzando un Netzsch DSC 214 (Selb, Germania) nell'intervallo compreso tra -100 °C e 25 °C con una velocità di riscaldamento di 10 °C/min.
L'analisi dinamico-meccanica (DMA) di FKM e compositi FKM è stata eseguita utilizzando campioni rettangolari di lunghezza pari a 40 mm, larghezza pari a 10 mm e spessore pari a 2,5 mm. Sono stati eseguiti test di sweep di ampiezza sotto deformazioni di taglio a una frequenza costante di 1 Hz ( ω = 6,28 rad/s). I valori della deformazione di taglio sono stati selezionati tra 0,001 e 30%. Il valore iniziale per la forza estensionale è stato selezionato a partire da 1 mN per garantire che la misurazione iniziasse entro il regime viscoelastico lineare (LVR). La temperatura è stata impostata a 20 °C. Sono stati eseguiti test di rampa di temperatura sotto deformazione estensionale dello 0,1% a una frequenza costante di 1 Hz ( ω = 6,28 rad/s). I valori della rampa sono stati selezionati tra -50 °C e 40 °C.
La densità di reticolazione è stata determinata sulla base della teoria dell'elasticità della gomma. A tale scopo, sono stati utilizzati il ​​valore del plateau della gomma d E′ (Tg + 50 K) e le equazioni [ 24 ].
Doveè la densità di reticolazione,è il peso molecolare medio tra i legami crociati,è il modulo di immagazzinamento della matrice,è la densità della matrice,è il modulo di immagazzinamento ottenuto dal plateau gommoso,è la frazione di volume della matrice nel composito. R e T sono la costante dei gas (8,314 J mol −1 K −1 ) e la temperatura assoluta in K.
L'energia libera superficiale (SFE) dei campioni è stata ottenuta mediante il seguente processo. Innanzitutto, gli angoli di contatto di ciascun campione per due liquidi di prova, acqua deionizzata e diiodometano Reagent Plus (>99%, Sigma-Aldrich, St. Louis, MO,USA), sono stati misurati utilizzando un tensiometro ottico (Theta Lite Attension Biolin Scientific, Göteborg, Svezia) in condizioni atmosferiche a temperatura ambiente (20 ± 3 °C). Le misurazioni dell'angolo di contatto per ciascun liquido con goccioline da 2 μL sono state eseguite su campioni preparati in sei copie in condizioni ambientali. Gli angoli di contatto sono stati ottenuti analizzando le immagini della gocciolina scattate durante i 10 s successivi ai 5 s successivi alla caduta sulla superficie del campione. Successivamente, gli SFE dei campioni sono stati calcolati sulla base degli angoli di contatto misurati secondo la teoria di Owens-Wendt, che può essere espressa come segue:
dove gli indici di pedice L1 e L2 indicano rispettivamente i liquidi di prova, acqua e diiodometano;,,sono rispettivamente l'area totale SFE, la componente polare (idrogeno) di SFE e la componente dispersiva di SFE per i compositi esaminati (o campioni di controllo);,Esono rispettivamente l'SFE totale, la componente polare dell'SFE e la componente dispersiva dell'SFE dei liquidi di prova (acqua e diiodometano). L'SFE dei liquidi di prova utilizzati sono i valori precedentemente riportati da Pergal et al. [ 25 ]: acqua:,,; e diiodometano,,;rappresenta l'angolo di contatto misurato per i liquidi di prova. Le misurazioni dell'angolo di contatto sono state eseguite in sei punti casuali sulle superfici dei campioni in FKM e in composito a base di FKM.
Gli spettri UV allo stato solido sono stati registrati utilizzando lo spettrofotometro UV-Visibile Evolution 260 BIO (Thermo Scientific, Waltham, MA, USA) accoppiato a una sfera di integrazione. I valori di bandgap (E g ) dei compositi sono stati determinati dai grafici di Tauc ottenuti dagli spettri di riflettanza diffusa UV-vis.
dove h è la costante di Planck, n è la frequenza di vibrazione, a è il coefficiente di assorbimento, E g è il gap di banda e A è una costante di proporzionalità. Il valore dell'esponente n denota la natura della transizione semplice. Per una transizione indiretta, n = 4. Il termine α nell'equazione di Tauc è stato sostituito con la funzione di Kubelka-Munk, F(R  ).

3. Risultati e discussione

La Figura 2a mostra gli spettri FTIR dei materiali utilizzati come riempitivi nei composti fluoroelastomerici. Si possono osservare prove significative tra i campioni analizzati. Per l'ossido di gadolinio (III), i picchi osservati a 1496 cm −1 e 1418 cm −1 sono caratteristici delle vibrazioni di stiramento dello ione carbonato (CO 2− ). Ciò indica che la superficie dell'ossido di gadolinio ha adsorbito CO 2 atmosferica o umidità, formando carbonati basici, un fenomeno comune negli ossidi di terre rare a causa della loro natura igroscopica [ 26 ]. Ulteriori picchi a 1044 cm −1 , 991 cm −1 e 908 cm −1 potrebbero essere attribuiti alle vibrazioni del legame Gd-O in presenza di impurità o gruppi idrossilici adsorbiti, suggerendo una relativa instabilità superficiale [ 27 ]. Al contrario, lo spettro GdB mostra un modello diverso, con picchi a 1347 cm −1 e 1034 cm −1 corrispondenti rispettivamente a vibrazioni di stiramento asimmetriche e simmetriche dei legami BO nei gruppi BO 3 , mentre i picchi a 883 cm −1 e 835 cm −1 sono assegnati a vibrazioni di flessione o modalità di deformazione della struttura del borato [ 28 ]. L'assenza di picchi significativi sopra i 1400 cm −1 in GdB indica una minore presenza di carbonati, suggerendo che la preparazione di GdB conferisce una maggiore stabilità chimica contro l'adsorbimento di CO 2 . Nel caso del GdBT, sebbene non siano stati evidenziati picchi specifici, si può dedurre che il trattamento termico abbia migliorato la cristallinità e la purezza del materiale, probabilmente accentuando le bande esistenti e riducendo ulteriormente le specie adsorbite, il che si tradurrebbe in uno spettro più definito, simile a quello del GdBO 3 , ma con una migliore risoluzione dei picchi caratteristici del borato. Nel complesso, questi risultati evidenziano che la sintesi di GdB e GdBT attenua la sensibilità alla contaminazione superficiale osservata nel GdO e che un ulteriore trattamento termico ottimizza la struttura del materiale.
Figura 2. ( a ) Spettri FTIR e ( b ) PXRD di ossido di gadolinio, GdB e GdBT. ( c ) Modelli PXRD per GdBO 3 monoclino e analisi comparativa per GdBT, dove sono evidenziati i picchi di borato di sodio. Distribuzione delle dimensioni delle particelle mediante diffusione dinamica della luce (DLS di ( d ) GdO, ( e ) GdB e ( f ) GdBT. Immagini TEM di ( g ) GdO, ( h ) GdB e ( i ) GdBT).
Inoltre, i pattern di diffrazione delle polveri delle fasi di riempimento sono mostrati in Figura 2 b. Il pattern PXRD della fase GdBT mostra picchi stretti, indicando che questo campione ha un'elevata cristallinità. Al contrario, il pattern PXRD della fase GdB mostra picchi più ampi e una linea di base rumorosa, suggerendo che questo campione ha una bassa cristallinità. I ​​picchi PXRD di GdBT sono coerenti con la struttura cristallina di GdBO 3 riportata in ICSD#074-1932, che presenta una struttura cristallina monoclina con gruppo spaziale C2/c (vedi Figura 2 c). Tuttavia, cinque picchi non si allineano con questa struttura monoclina, suggerendo che una fase secondaria si sia formata durante il trattamento termico. Questi picchi della fase secondaria possono essere attribuiti al borato di sodio.
Per identificare la variazione nella distribuzione granulometrica dei materiali GdO, GdB e GdBT, è stata eseguita un'analisi di diffusione dinamica della luce (DLS), i cui risultati sono mostrati in Figura 2 d–f. Tutti i campioni presentano un'ampia distribuzione granulometrica, compresa nell'intervallo delle microparticelle. La distribuzione di GdO è paragonabile in estensione a quella di GdB e GdBT. Tuttavia, confrontando questi ultimi due, si può osservare che GdBT ha una dimensione media maggiore rispetto a GdB. Questa differenza è attribuibile a possibili processi di sinterizzazione verificatisi durante il trattamento termico applicato a GdBT.
D'altra parte, la Figura 2 g–i include anche immagini di microscopia elettronica a trasmissione (TEM) dei tre materiali. Queste confermano che le particelle hanno un basso rapporto di aspetto e un'elevata densità elettronica, conseguenza dell'elevato numero atomico del gadolinio (Gd). Le particelle di GdB e GdBT mantengono il basso rapporto di aspetto, ma nel caso del GdB, la loro densità elettronica è irregolare, suggerendo la presenza di elementi leggeri come gli atomi delle molecole di acqua di idratazione. Nel caso del GdBT, si osserva una densità elettronica più omogenea e più elevata, insieme a un'evidente agglomerazione di particelle, a conferma che la sinterizzazione è avvenuta a causa del trattamento termico.

3.1. Proprietà meccaniche, di polimerizzazione e dinamiche dei compositi a base di FKM

La Tabella 1 mostra i risultati dell'analisi reologica condotta su formulazioni FKM contenenti ossido di gadolinio(III), nonché borati di gadolinio(III) (GdB e GdBT). Le curve corrispondenti sono mostrate in Figura 3. Il modulo minimo (M L ), che è correlato alla viscosità del composto e all'interazione polimero-filler prima della vulcanizzazione, mostra un comportamento variabile a seconda del tipo di filler. L'ossido di gadolinio (GdO) aumenta significativamente il modulo minimo, in particolare a un contenuto di 15 phr. Ciò indica un'interazione tra il polimero e il filler, che limita lo scorrimento del polimero. Al contrario, GdB e GdBT hanno un impatto modesto sui moduli minimi; i loro valori tendono ad essere simili o inferiori a quelli dell'FKM, suggerendo una scarsa interazione particella-polimero. Per quanto riguarda la coppia massima e la differenza (M H –M L ), che è proporzionale alla densità della rete di reticolazione, un valore elevato indica un composto più rigido con un grado di reticolazione più elevato. Si osserva che GdO aumenta costantemente la differenza tra M H e M L , suggerendo una maggiore densità di reticolazione. Ciò è particolarmente evidente nel campione FKM-GdO15, che presenta il valore più elevato: 0,973 Nm. Ciò indica che il riempitivo partecipa attivamente e promuove l'efficienza del processo di vulcanizzazione. Inoltre, GdO può agire come riempitivo rinforzante. Per i composti a base di GdB, la differenza M H –M L diminuisce rispetto a FKM, indicando che GdB interferisce con il processo di reticolazione [ 6 , 29 ]. GdBT mostra valori di differenza M H –M L intermedi a bassi carichi ma valori simili a quelli di GdB con contenuto di 20 e 25 phr.
Figura 3. Curve di polimerizzazione dei nanocompositi FKM contenenti GdO ( a ), GdB ( b ) e GdBT ( c ).
Tabella 1. Parametri di polimerizzazione dei nanocompositi FKM.
Per quanto riguarda il tempo di scottatura (t s2 ), si osserva che il GdO ha un effetto distinto rispetto all'FKM. Tuttavia, si è riscontrato che il GdB e il GdBT hanno un effetto significativo, che potrebbe essere associato a un ritardo della vulcanizzazione. Per quanto riguarda il tempo di vulcanizzazione ottimale (t 90 ), che è correlato alla velocità di formazione della rete polimerica reticolata, il GdO aumenta leggermente t 90. Per i compositi a base di GdB e GdBT, i valori di t 90 sono più lunghi, indicando un effetto ritardante sul processo di vulcanizzazione.
La Tabella 2 mostra i risultati delle prove di trazione su mescole di fluoroelastomero contenenti diverse cariche. Test rappresentativi per ciascuna composizione sono presentati in Figura 4. Si osserva una tendenza generale per cui un maggiore contenuto di carica aumenta la rigidità (modulo elastico) e la resistenza a trazione delle mescole, il che indica l'efficacia del materiale di carica come agente rinforzante. Si può osservare che alcuni campioni presentano risultati ottimali; ad esempio, FKMGd15 ha proprietà bilanciate, FKMGdB25 ha la più elevata resistenza a trazione e FKMGdB5 ha la più elevata estensibilità. Inoltre, si possono osservare differenze significative tra i vari tipi di carica. Per GdO, ad esempio, sia la rigidità che la resistenza a trazione aumentano costantemente con la quantità di carica. Ciò non implica una diminuzione dell'allungamento a rottura, che tende anch'esso ad aumentare gradualmente. Un comportamento ancora più notevole si osserva nei composti con GdB: non solo mostrano un effetto rinforzante, evidenziato dall'aumento del modulo e della resistenza, ma dimostrano anche un sostanziale miglioramento dell'allungamento a rottura, molto più elevato di quello osservato nei composti con GdB e GdBT. Nello specifico, l'FKM puro ha un allungamento a rottura del 201%, mentre i composti con GdB possono raggiungere valori fino al 370%. Questo comportamento insolito, che comporta un aumento simultaneo della resistenza a trazione e dell'allungamento a rottura, suggerisce che il riempitivo GdB massimizza le prestazioni meccaniche dei composti FKM. Il miglioramento simultaneo della resistenza a trazione e dell'allungamento dei composti FKM con GdB è attribuito all'azione multifunzionale del gadolinio. La disponibilità dei suoi orbitali f consente al catione Gd 3+ di formare legami di coordinazione dinamici con gli atomi di fluoro nelle catene polimeriche, creando una doppia rete in aggiunta ai tradizionali legami crociati covalenti [ 30 , 31 , 32 ].
Figura 4. Curve sforzo-deformazione di nanocompositi FKM puri e compositi a base di FKM contenenti GdO ( a ), GdB ( b ) e GdBT ( c ).
Tabella 2. Proprietà meccaniche determinate mediante prove di trazione dei nanocompositi FKM.
Allo stesso modo, la presenza die le molecole d'acqua di idratazione nella struttura di GdB e GdBT conferiscono a questi composti un carattere polare che aumenta la loro affinità con il fluoroelastomero FKM. Tutto ciò potrebbe contribuire alla formazione di una rete ionica reversibile. Questa rete ionica reversibile dissipa energia sotto stress, aumentando così la tenacità e l'allungamento, rinforzando al contempo l'interfaccia riempitivo-polimero per migliorare rigidità e resistenza. A differenza dell'ossido in GdO, l'anione borato in GdB sembra ottimizzare questo effetto promuovendo una rete più uniforme e stabile. Tuttavia, i trattamenti superficiali in GdBT potrebbero inibire queste interazioni dirette, il che potrebbe spiegare la loro minore efficacia.
È interessante notare che, nei composti a base di FKM, la tendenza generale dei riempitivi è quella di aumentare la rigidezza a scapito di una riduzione dell'allungamento massimo, ovvero una perdita di elasticità. Questo comportamento è stato documentato, ad esempio, da Maldonado-Magnere et al. [ 6 , 33 ], che hanno dimostrato che materiali come grafite, ossido di bismuto (III) e nanopiastrine di grafene portano sistematicamente a una diminuzione della duttilità dell'elastomero. Tuttavia, i sistemi GdO, GdB e GdBT qui studiati mostrano una notevole deviazione da questa tendenza. Questo cambiamento fa luce sulla possibilità di progettare compositi in cui le interazioni ioniche, favorite dalla natura polare del FKM, svolgono un ruolo fondamentale e contribuiscono a migliorare le prestazioni meccaniche complessive, migliorando contemporaneamente rigidezza e tenacità.
La Figura 5 mostra i risultati del test di strain sweep per campioni a base di FKM. Illustra come il modulo di elasticità (E′), il modulo di perdita (E″) e il fattore di perdita (tan δ) variano con la deformazione applicata. Si osserva l'effetto Payne dominante, caratterizzato da una diminuzione del modulo di elasticità (E′) all'aumentare dell'ampiezza della deformazione. Questo comportamento è tipico dei composti elastomerici riempiti con cariche. Nella regione di bassa deformazione, E′ rimane elevato e costante, indicando che la rete formata dalle particelle di carica rimane intatta. All'aumentare della deformazione, tuttavia, questa rete inizia a rompersi, portando a una drastica diminuzione di E′. Per quanto riguarda il modulo di perdita (E″), il composto FKM non riempito mostra un picco ampio e di bassa intensità nella regione non lineare, correlato all'attrito interno della rete polimerica. Quando viene incorporata la carica (da 5 a 25 phr), l'altezza e la forma della curva E″ cambiano notevolmente e compare un picco molto più pronunciato. Ciò suggerisce che il riempitivo introduce un nuovo meccanismo di dissipazione di energia associato alla sua rottura di rete, che è collegato a una maggiore isteresi del materiale [ 34 , 35 ]. Per quanto riguarda il fattore di perdita (tan δ), si osserva anche un picco massimo nella regione di deformazione non lineare. Valori inferiori dell'FKM di base sono associati a un comportamento più elastico e meno dissipativo. L'aggiunta di riempitivo provoca un drastico aumento dell'entità di questo picco, il che implica che il riempitivo introduce ulteriori meccanismi di dissipazione di energia.
Figura 5. Parametri meccanici dinamici in modalità di deformazione di taglio di FKM puro e compositi FKM costituiti da modulo di immagazzinamento-modulo di perdita e fattore di perdita di nanocompositi a base di GdO ( a – c ), nanocompositi GdB ( d – f ) e nanocompositi GdBT ( g – i ).
Il comportamento dei composti con riempitivo GdB è completamente opposto. A basse deformazioni, il modulo di accumulo (E′) è simile o inferiore a quello dell'FKM senza riempitivo, indicando che questo riempitivo non rinforza la matrice polimerica. Considerando i valori inferiori di ΔM (MH-ML) ottenuti dalle curve di polimerizzazione, si può dedurre un'interferenza attiva con il processo di reticolazione, con conseguente riduzione della densità di reticolazione. La minima diminuzione di E′ con l'aumentare della deformazione suggerisce un effetto Payne debole o inesistente, confermando l'assenza di una rete di riempitivo percolato. Per quanto riguarda il modulo di perdita (E″), l'assenza di un picco definito corrobora la mancanza di una struttura di riempitivo significativa in grado di rompersi e rilasciare energia in modo dissipativo sotto deformazione. Ciò implica che la dissipazione di energia è dominata esclusivamente dalla rete polimerica indebolita [ 36 , 37 ]. Per quanto riguarda tan δ, nei composti si osserva un andamento piatto e lineare, che suggerisce un comportamento viscoelastico lineare associato a un'isteresi molto bassa.
Per i campioni di FKM con contenuto di filler trattato (GdBT), si osserva un comportamento intermedio. Il modulo di accumulo (E′) a bassa deformazione è superiore a quello del composto con GdB non trattato e dell'FKM base, ma inferiore a quello dei composti con GdB. Ciò indica che il trattamento ha conferito al filler una moderata capacità rinforzante. Sebbene meno pronunciata rispetto alla serie GdO, si osserva una diminuzione di E′ con deformazione (effetto Payne), indicando la formazione di una rete di filler meno rigida o estesa [ 36 , 38 , 39 ]. Al contrario, la comparsa di un picco discernibile nella curva del modulo di perdita (E″) suggerisce la presenza di processi di dissipazione di energia associati alla rottura della rete di filler riformata. I valori della delta tangente (tan δ) mostrano un moderato aumento rispetto all'FKM base, indicando un migliore equilibrio tra proprietà elastiche e dissipative rispetto al GdB non trattato. Questo miglioramento è dovuto al trattamento applicato al filler.
L'analisi di parametri viscoelastici come il modulo di accumulo (E′), il modulo di perdita (E″) e la deltatangente (tan δ) in funzione della temperatura a frequenza costante consente di caratterizzare la transizione di un materiale da uno stato vetroso rigido a uno stato elastico gommoso. La Figura 6 mostra il comportamento del modulo di accumulo (E′). Tutti i materiali mostrano il brusco calo caratteristico di questa transizione. Tuttavia, i compositi con un contenuto di riempitivo più elevato (25 phr) mostrano una diminuzione meno pronunciata di E′ e valori assoluti più elevati nel plateau gommoso rispetto all'elastomero non riempito. Ciò indica un effetto di rinforzo: le particelle di riempitivo limitano il movimento delle catene polimeriche, aumentando la rigidità del materiale composito. Il modulo di perdita (E″) aumenta leggermente nei composti con un contenuto di riempitivo più elevato, suggerendo che le particelle di riempitivo influenzano i processi dissipativi nell'intervallo di temperatura analizzato [ 40 ].
Figura 6. Parametri meccanici dinamici sotto una rampa di temperatura di FKM puro e compositi FKM, costituiti da ( a ) modulo di immagazzinamento; ( b ) modulo di perdita; e ( c ) fattore di perdita.
Il picco della tangente delta (tan δ) è stato analizzato utilizzando una curva non lineare per un picco asimmetrico per determinare la temperatura di transizione (T g ), la larghezza totale a metà massimo (FWHM) e l'altezza massima [ 41 ]. I valori di T g corrispondenti ai massimi di questi picchi mostrano che l'aggiunta di riempitivi GdB (a entrambe le concentrazioni) e GdBT a 5 phr diminuisce significativamente T g , da -2,14 °C (FKM) a -3,62 °C. Questa diminuzione suggerisce un possibile effetto plastificante in cui le particelle interferiscono con le interazioni intermolecolari del polimero, facilitando il movimento dei segmenti di catena a temperature più basse [ 42 , 43 ]. Per quanto riguarda l'omogeneità della rete, il valore FWHM di FKM0 (17,2 °C) aumenta in tutti i composti, raggiungendo valori fino a 18,5 °C. Questo ampliamento indica che l'incorporazione di riempitivi introduce eterogeneità nel sistema poiché i riempitivi creano interfacce con la matrice polimerica che hanno mobilità molecolare ed energia di attivazione diverse rispetto al polimero allo stato solido [ 44 , 45 , 46 ]. Infine, l'altezza massima del picco tan δ, che è correlata alla capacità del materiale di dissipare energia, diminuisce significativamente nelle formulazioni con un elevato contenuto di riempitivo (25 phr). Ciò conferma che una maggiore quantità di particelle di riempitivo limita più efficacemente il movimento della catena, riducendo l'entità del rilassamento e di conseguenza la capacità di smorzamento del materiale nella regione di transizione vetrosa.
Sulla base dei dati del modulo di accumulo (E′) nel plateau dello stato gommoso, è stata determinata la densità di reticolazione effettiva della rete polimerica, ed è stato osservato che l'incorporazione di riempitivi a base di gadolinio promuove un aumento significativo di questa densità, che raggiunge il suo valore massimo per il composto FKMGdBT25. Questo aumento suggerisce che questi riempitivi promuovono attivamente la formazione della rete attraverso un duplice meccanismo: da un lato, la loro natura chimica potrebbe catalizzare la reazione di reticolazione covalente promossa dal bisfenolo AF e, dall'altro, stabiliscono interazioni ioniche con l'FKM polare, formando una rete dinamica di legami fisici supplementari. Questo meccanismo di rinforzo attraverso interazioni specifiche tra la superficie del riempitivo e l'elastomero, ampiamente documentato nella letteratura specializzata ( Tabella 3 ) [ 24 ], si manifesta in un aumento della densità di reticolazione effettiva calcolata e spiega l'eccezionale equilibrio delle proprietà meccaniche osservato in questi composti.
Tabella 3. Parametri quali temperatura di transizione vetrosa, FWHM e altezza massima determinati analizzando il picco tan d dei compositi a base di FKM. Densità di reticolazione e peso molecolare medio tra i reticolati.

3.2. Morfologia dei compositi a base di fluoroelastomeri

La Figura 7 mostra le immagini SEM dei punti di rottura dei provini sottoposti a prove di trazione su FKM e composti FKM caricati con GdO, GdB e GdBT. L'FKM puro presenta una morfologia tipica della gomma reticolata, in cui la fase elastomerica continua contiene particelle di agenti reticolanti basati sul sistema bisfenolo-A, come ossido di magnesio e idrossido di calcio. La presenza di alcune bolle osservabili è dovuta principalmente al rilascio di composti volatili durante la reazione di reticolazione. Questi composti, che possono essere sottoprodotti della decomposizione degli agenti reticolanti o dell'umidità residua, rimangono intrappolati nella matrice polimerica quando la cinetica di reticolazione e l'aumento di viscosità superano la loro capacità di diffondere in superficie. L'incorporazione di ossido di gadolinio (III) come riempitivo introduce significative modifiche morfologiche. A basse concentrazioni (5 phr), il riempitivo influisce sulla continuità della fase, evidenziata da un maggior numero di superfici di frattura, suggerendo la formazione di punti di rottura innescati dalle particelle. Tuttavia, la dispersione del riempitivo in questo caso appare omogenea. Al contrario, il composto FKMGdO25 non solo presenta queste zone di frattura, ma anche una maggiore agglomerazione del materiale di riempimento. Nei composti FKMGdB e FKMGdBT, l'agglomerazione del riempitivo si osserva in tutte le concentrazioni analizzate. Analogamente, è possibile distinguere un'eterogeneità associata al tipo di riempitivo, dove si identifica un contributo morfologico corrispondente all'ossido di gadolinio (III) e un altro al borato di sodio, entrambi i materiali essendo distribuiti in modo casuale all'interno della matrice elastomerica. I risultati ottenuti indicano che, nonostante l'elevata agglomerazione delle particelle di riempitivo, si ottiene un significativo miglioramento delle proprietà meccaniche. Ciò suggerisce che il loro contributo non si limita al solo effetto di rigidezza impartito da un carico rigido, come ci si potrebbe aspettare. Come discusso, le prestazioni superiori di questi materiali sono dovute principalmente alla formazione di una rete dinamica mediata dalle interazioni ioniche tra le particelle, che agisce come un ulteriore e decisivo meccanismo di rinforzo.
Figura 7. Immagini SEM di FKM ( a , b ), FKMGdO5 ( c , d ), FKMGdO25 ( e , f ), FKMGdB5 ( g , h ), FKMGdB25 ( i , j ), FKMGdBT5 ( k , l ) e FKMGdBT25 ( m , n ).

3.3. Analisi termogravimetrica di riempitivi e compositi di gadolinio FKM

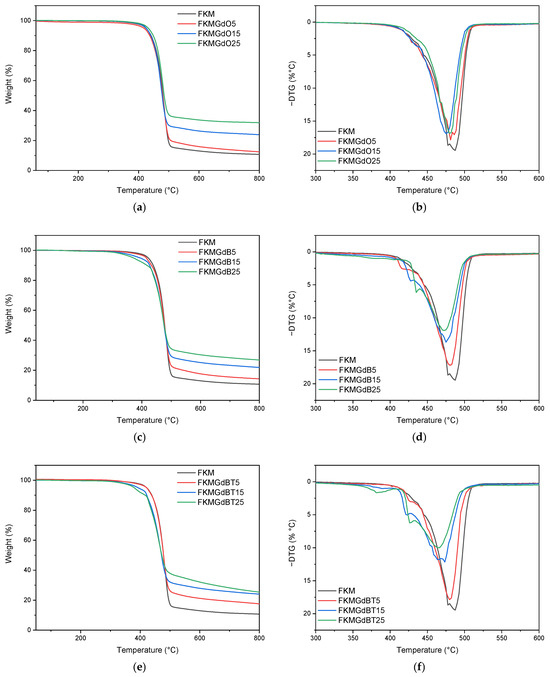
La Figura 8 mostra l'analisi termogravimetrica (TGA) dei materiali utilizzati come riempitivi: GdO, GdB e GdBT. La stessa figura include la curva termogravimetrica derivata (DTG), che identifica i diversi picchi di decomposizione per ciascun campione.
Figura 8. Analisi termogravimetrica ( a ) e curva derivata dell'analisi termogravimetrica ( b ) di GdO, GdB e GdBT.
Il campione di GdO mostra un leggero picco intorno a 600 °C, suggerendo la decomposizione di impurità residue, come idrossido o carbonato di gadolinio (III). I campioni di GdB e GdBT, d'altra parte, mostrano diversi processi di degradazione. Nel caso di GdB, si osservano tre eventi: il primo intorno a 100 °C, associato all'umidità adsorbita; il secondo vicino a 218 °C, attribuito alla disidratazione del materiale; e il terzo, un picco pronunciato a 673 °C. Quest'ultimo è correlato a una significativa perdita di massa dovuta alla decomposizione del borato di sodio, che comporta un complesso processo di disidratazione, amorfizzazione e cristallizzazione, con l'eliminazione dei gruppi ossidrilici sotto forma di acqua [ 47 ]. Per quanto riguarda GdBT, vengono rilevati segnali corrispondenti alla perdita di umidità e al processo associato al borato di sodio. L'assenza del picco di disidratazione intorno ai 218 °C suggerisce un grado più elevato di ordinamento cristallino in questo materiale, che coincide con quanto osservato mediante diffrazione dei raggi X.
Per quanto riguarda l'analisi termogravimetrica dei composti FKM, la Figura 9 mostra le curve per composti con diversi contenuti di GdO, GdB e GdBT. Nei composti FKM con GdO, si osserva un singolo processo di degradazione attribuibile alla decomposizione della matrice polimerica. L'analisi della curva derivata (DTG) rivela che la temperatura massima del rapporto di degradazione dell'FKM puro è di 487 °C. Questo valore si sposta a temperature inferiori, 481 °C, 475 °C e 479 °C per i campioni FKMGdO5, ​​FKMGdO15 e FKMGdO25, rispettivamente, suggerendo una diminuzione della stabilità termica. Questo fenomeno potrebbe essere dovuto a un effetto catalitico della superficie dell'ossido di gadolinio (GdO), che riduce l'energia di attivazione richiesta per la degradazione del polimero. La diminuzione iniziale e progressiva del picco di DTG per i contenuti di 5 e 15 phr, seguita da un leggero aumento a 25 phr, indica che a basse concentrazioni si ottiene una dispersione ottimale, massimizzando l'effetto catalitico. Al contrario, a contenuti più elevati (25 phr), l'agglomerazione delle particelle riduce l'efficacia superficiale del GdO.
Figura 9. Analisi termogravimetrica e curva derivata dell'analisi termogravimetrica dei compositi FKMGdO ( a , b ), FKMGdB ( c , d ) e FKMGdBT ( e , f ).
Da parte loro, anche i composti FKM con GdB presentano un singolo processo di decomposizione principale. Tuttavia, la curva DTG mostra un inizio precoce della degradazione, visibile come una spalla a una temperatura inferiore adiacente al picco principale. La dimensione di questa spalla è proporzionale al contenuto di GdB, suggerendo che sia associata alla decomposizione precoce del materiale di riempimento stesso. Inoltre, si osserva una diminuzione della temperatura del picco DTG principale a 480 °C, 475 °C e 473 °C rispettivamente per i campioni FKMGdB5, FKMGdB15 e FKMGdB25, a conferma che la presenza di gadolinio promuove una degradazione più precoce delle catene polimeriche. Infine, i composti FKMGdBT5, FKMGdBT15 e FKMGdBT25 mostrano un andamento simile a quello dei composti con GdB, con picchi DTG registrati rispettivamente a 480 °C, 474 °C e 466 °C, il che dimostra un'influenza simile del gadolinio sulla degradazione termica dell'elastomero.
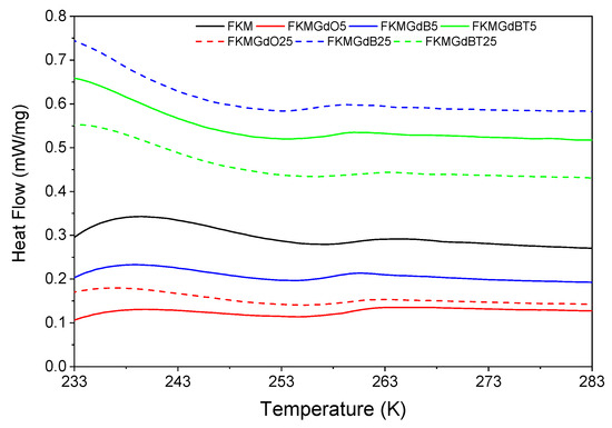
Nell'analisi calorimetrica differenziale a scansione (DSC) mostrata nella Figura 10 , l'FKM non riempito ha una temperatura di transizione vetrosa (Tg ) di -13,7 °C. Tuttavia, i composti che incorporano riempitivi GdO, GdB e GdBT mostrano valori di Tg inferiori . Nello specifico, per campioni con 25 phr di riempitivo, FKMGdO25, FKMGdB25 e FKMGdBT25 registrano temperature rispettivamente di -14,9 °C, -17,0 °C e -13,5 °C ( Tabella 4 ). Questa diminuzione generale suggerisce che le particelle di riempitivo introducano volume libero nella matrice polimerica, il che facilita i movimenti segmentali delle catene FKM e, di conseguenza, riduce la temperatura alla quale il materiale passa dallo stato vetroso allo stato gommoso. Questo effetto può essere attribuito a un'interazione polimero-riempitivo che non limita significativamente la mobilità delle catene e può persino agire in modo simile a un effetto plastificante.
Figura 10. Analisi calorimetrica differenziale di compositi a base di FKM.
Tabella 4. Temperatura di transizione vetrosa dei compositi a base di FKM determinata mediante DSC.

3.4. Energia superficiale e gap di banda dei nanocompositi

La Tabella 5 mostra l'energia superficiale totale e le sue componenti, dispersiva e polare, determinate utilizzando il metodo Owens, Wendt, Rabel e Kaelble (OWRK). L'FKM non caricato presenta una bassa energia superficiale totale (25,9 mJ/m² ) , dominata dalla componente dispersiva (24,1 mJ/m² ) e con una componente polare minima (1,8 mJ/m² ) , caratteristica degli elastomeri fluorurati e che ne conferma la spiccata natura idrofobica. Con l'aggiunta di 5 phr di cariche (GdO, GdB e GdBT), l'energia superficiale totale aumenta. Questo aumento è direttamente attribuito a un significativo aumento della componente polare nei composti, a indicare una superficie più idrofila con un maggiore potenziale di interazioni adesive. Il significativo aumento della componente polare dell'energia superficiale osservato nei composti contenenti 5 phr di carica indica un'efficace dispersione delle particelle a basse concentrazioni. Quando le particelle di ossido di gadolinio o borato sono distribuite omogeneamente e non si agglomerano nell'FKM, un'ampia porzione della loro superficie specifica – intrinsecamente polare a causa della loro natura ionica (Gd 3+ , O 2− , BO 3− ) – viene esposta, creando un'interfaccia estesa e attiva con il polimero. Questa interfaccia ben distribuita introduce numerosi nuovi "siti polari" sulla superficie del composto, con conseguente aumento dell'energia polare misurata (γ sp ). Al contrario, a 25 phr, la tendenza ad agglomerarsi riduce drasticamente questa interfaccia efficace; le superfici polari delle particelle sono "nascoste" all'interno degli agglomerati e sono principalmente a contatto tra loro. Di conseguenza, la chimica superficiale è nuovamente dominata dalle regioni non polari dell'FKM, con conseguente diminuzione della componente polare. Pertanto, la dispersione controlla l'accesso ai gruppi polari del riempitivo, il che ha un profondo effetto sulle proprietà interfacciali e di adesione del materiale.
Tabella 5. Superficie totale, dispersivo e polareenergie dei compositi a base di FKM.
Il gap energetico (E g ), determinato dalla trasformazione di Kubelka-Munk, fornisce informazioni essenziali sulle proprietà elettroniche dei materiali, in particolare sull'energia necessaria per la transizione degli elettroni dalla banda di valenza a quella di conduzione. I valori di E g ottenuti per i riempitivi a base di gadolinio ( Figura 11 ) sono piuttosto comparabili. Tuttavia, i composti FKM riempiti con gadolinio ( Figura 12 ) variano significativamente, riflettendo l'impatto di questi additivi sulla struttura elettronica del materiale. L'FKM puro ha un gap di banda di 2,06 elettronvolt (eV), che lo colloca nell'intervallo caratteristico dei semiconduttori organici. Questo valore indica una conduttività elettrica moderata, coerente con la natura degli elastomeri fluorurati. Tuttavia, quando vengono aggiunti riempitivi di gadolinio (GdO, GdB e GdBT), si osserva un aumento sistematico di E g in tutti i composti. Questo ampliamento del gap di banda suggerisce che i materiali diventano più isolanti; ovvero, è necessaria più energia per eccitare gli elettroni, riducendo così la conduttività elettrica intrinseca dell'FKM. Tra i composti con 5 phr di riempitivo, GdO produce l'aumento maggiore (E g = 2,43 eV), seguito da GdB (2,30 eV) e GdT (2,26 eV). Ciò indica che GdO è il più efficace nel modificare la struttura elettronica dell'FKM a basse concentrazioni, probabilmente a causa delle interazioni più forti all'interfaccia polimero-riempitivo che limitano la mobilità dei portatori di carica. Nei composti con 25 phr, il band gap continua ad aumentare con GdO (2,68 eV) e GdBT (2,43 eV), mentre l'aumento è minimo con GdB (2,32 eV). Questa tendenza suggerisce che GdO e GdBT mantengano la loro efficacia nell'allargare il band gap a concentrazioni più elevate, probabilmente a causa della dispersione omogenea che favorisce la formazione di interfacce che alterano le bande energetiche. Tuttavia, il GdB mostra un effetto di saturazione che potrebbe essere correlato all'agglomerazione ad alte concentrazioni, limitando la sua interazione con la matrice polimerica.
Figura 11. Grafici Tauc dei riempitivi: ossido di gadolinio ( a ), miscela di gadolinio GdB ( b ) e miscela di gadolinio GdBT ( c ).
Figura 12. Grafica Tauc di FKM puro ( a ) e nanocompositi FKM basati su GdO ( b , c ), GdB ( d , e ) e GdBT ( f , g ).
L'aumento generale di E g con l'aggiunta di riempitivi può essere attribuito a diversi fattori. In primo luogo, gli ossidi di gadolinio sono materiali con ampi gap di banda (ad esempio, il GdO puro ha un E g di circa 5 eV), quindi la loro incorporazione introduce stati elettronici che ampliano il gap effettivo del composto. In secondo luogo, la dispersione delle particelle nella matrice polimerica può influenzare l'organizzazione della catena, favorendo una struttura più amorfa che aumenta E g . Infine, le interfacce tra FKM e riempitivi possono creare barriere energetiche che ostacolano le transizioni elettroniche.
In conclusione, i riempitivi di gadolinio, in particolare GdO, modificano favorevolmente le proprietà elettroniche dell'FKM, facendolo comportare più come un isolante. Questo è vantaggioso per applicazioni che richiedono un'elevata resistenza elettrica, come rivestimenti o guarnizioni in ambienti elettrificati. La dipendenza di E g dal tipo e dalla concentrazione del riempitivo suggerisce la possibilità di adattare le proprietà elettroniche del materiale a specifiche applicazioni.

4. Conclusioni

Questo studio ha dimostrato che è possibile utilizzare materiali come l'ossido di gadolinio e i borati di gadolinio in un fluoroelastomero di tipo FKM senza comprometterne le proprietà di vulcanizzazione. Inoltre, le notevoli proprietà meccaniche osservate – con aumenti fino al 162% della resistenza a trazione e un aumento quasi doppio dell'allungamento a rottura – rappresentano un eccezionale equilibrio di proprietà che consentirebbe l'utilizzo di questi materiali in applicazioni speciali. Le proprietà meccanico-dinamiche indicano che la natura di questi riempitivi non è rinforzante, poiché l'effetto Payne non si osserva, soprattutto nei composti contenenti borati di gadolinio.
Allo stesso modo, è stato scoperto che l'incorporazione di materiali a base di gadolinio influenza le proprietà fotofisiche dell'elastomero, mostrando un aumento del band gap che potrebbe essere associato a una riduzione della conduttività elettrica intrinseca del materiale.
Nel complesso, questi risultati rappresentano un significativo passo avanti nello sviluppo di materiali avanzati che potrebbero trovare applicazione nella schermatura dalle radiazioni, data l'importanza critica del boro e del gadolinio per questa funzione. Questi aspetti sono attualmente in fase di studio e saranno oggetto di discussione in seguito.

Contributi degli autori

Concettualizzazione, HA-B., FM, MJI-I. e MD; metodologia, HA-B., AB-H. e MAL-M.; validazione, CC, AH e MJI-I.; analisi formale, HA-B., AH e AB-H.; indagine, HA-B. e AB-H.; risorse, HA-B. e MAL-M.; cura dei dati, AH e AB-H.; redazione - preparazione della bozza originale, HA-B. e AB-H.; redazione - revisione e editing, HA-B. e AB-H.; supervisione, HA-B.; amministrazione del progetto, HA-B.; acquisizione dei finanziamenti, HA-B. e AB-H. Tutti gli autori hanno letto e accettato la versione pubblicata del manoscritto.

Finanziamento

HA-B. riconosce ANID-FONDECYT 1251697, ANID-FONDEQUIP EQM220083, il progetto di ricerca VRID VRID Nº2024001180INV (Universidad de Concepción), e ringrazia anche il Centro di spettroscopia e microscopia (CESMI), Vicerrectoría de Investigación y Desarrollo (VRID), Universidad de Concepción, Concepción 3349001, Cile.

Dichiarazione di disponibilità dei dati

I contributi originali presentati nello studio sono inclusi nell'articolo; ulteriori richieste possono essere indirizzate agli autori corrispondenti.

Conflitti di interesse

Gli autori dichiarano di non avere conflitti di interesse.

Riferimenti

  1. Rodgers, B.; Waddell, W. La scienza della mescolazione della gomma. In Scienza e tecnologia della gomma ; Academic Press: Cambridge, MA, USA, 2005. [ Google Scholar ] [ CrossRef ]
  2. Aguilar-Bolados, H.; Yazdani-Pedram, M.; Verdejo, R. Proprietà termiche, elettriche e di rilevamento dei nanocompositi di gomma. In Materiali elastomerici ad alte prestazioni rinforzati da nano-carboni ; Elsevier: Amsterdam, Paesi Bassi, 2019. [ Google Scholar ] [ CrossRef ]
  3. ASTM D1418-22 ; Pratica per la nomenclatura della gomma e dei lattici di gomma. ASTM International: West Conshohocken, PA, USA, 2022. [ CrossRef ]
  4. Améduri, B.; Boutevin, B.; Kostov, G. Fluoroelastomeri: sintesi, proprietà e applicazioni. Prog. Polym. Sci. 2001 , 26 , 105–187. [ Google Scholar ] [ CrossRef ]
  5. Ranieri, N. Elastomeri in applicazioni in ambienti estremi. In Materiali elastomerici ad alte prestazioni rinforzati da nano-carboni: proprietà multifunzionali e applicazioni industriali ; Elsevier: Amsterdam, Paesi Bassi, 2019. [ Google Scholar ] [ CrossRef ]
  6. Magnere, SM; Toledo, EA; Yazdani-Pedram, M.; Fuentealba, P.; Contreras-Soto, A.; Bascuñan-Heredia, A.; Alvarez-Cortes, G.; Zagal, A.; Molina, F.; Hernández-Santana, M.; et al. Compositi fluoroelastomerici ad alte prestazioni riempiti con grafite e/o ossido di bismuto per applicazioni nella schermatura dei raggi gamma. Polym. Compos. 2024 , 45 , 6901–6913. [ Google Scholar ] [ CrossRef ]
  7. Güngör, A.; Akbay, K.; Yaşar, D.; Özdemir, T. Materiale composito flessibile di schermatura dai raggi X/Gamma in gomma EPDM con triossido di bismuto: indagini meccaniche, termiche e test di attenuazione. Prog. Nucl. Energy 2018 , 106 , 262–269. [ Google Scholar ] [ CrossRef ]
  8. Álvarez-Cortez, G.; Molina, F.; Urbano, BF; Dahrouch, M.; Santana, MH; Manchado, MAL; Verdejo, R.; Bolados, HA Progettazione e studio di nuovi compositi basati su gomma EPDM contenente ossido di bismuto (III) e nanopiastrine di grafene per la schermatura dalle radiazioni gamma. Polimeri 2024 , 16 , 633. [ Google Scholar ] [ CrossRef ]
  9. Kalkornsuranee, E.; Intom, S.; Lehman, N.; Johns, J.; Kothan, S.; Sengloyluan, K.; Chaiphaksa, W.; Kaewkhao, J. Proprietà meccaniche e di schermatura dalle radiazioni gamma dei compositi di gomma naturale: effetti dell'ossido di bismuto (Bi 2 O 3 ) e dell'ossido di piombo (PbO). Mater. Res. Innov. 2020 , 26 , 8–15. [ Google Scholar ] [ CrossRef ]
  10. Zhou, Q.; Yan, L.; Lai, X.; Li, H.; Zeng, X. L'effetto del trimetacrilato di lantanio sulle proprietà meccaniche e sulla resistenza alla fiamma dei vulcanizzati termoplastici PP/EPDM vulcanizzati dinamicamente. J. Elastomers Plast. 2018 , 50 , 339–353. [ Google Scholar ] [ CrossRef ]
  11. Giacobbe, M.; Airinei, A.; Asandulesa, M.; Dascalu, M.; Tudorachi, N.; Hernandez, L.; Cazacu, M. Elastomeri siliconici riempiti con ossidi di terre rare. Madre. Ris. Express 2020 , 7 , 035703. [ Google Scholar ] [ CrossRef ]
  12. Abdulrahman, ST; Ahmad, Z.; Thomas, S.; Rahman, AA Introduzione ai materiali schermanti per neutroni. In Materiali compositi micro e nanostrutturati per applicazioni di schermatura dei neutroni ; Woodhead Publishing: Cambridge, Regno Unito, 2020. [ Google Scholar ] [ CrossRef ]
  13. Qi, Z.; Yang, Z.; Li, J.; Guo, Y.; Yang, G.; Yu, Y.; Zhang, J. L'avanzamento dei materiali di schermatura neutronica per il trasporto e lo stoccaggio del combustibile nucleare esaurito. Materials 2022 , 15 , 3255. [ Google Scholar ] [ CrossRef ]
  14. Spinosa, DJ; Angle, JF; Hartwell, GD; Hagspiel, KD; Leung, DA; Matsumoto, AH Agenti di contrasto a base di gadolinio in angiografia e radiologia interventistica. Clin. N. Am. 2002 , 40 , 693–710. [ Google Scholar ] [ CrossRef ]
  15. Gadolinio: una panoramica | Argomenti di ScienceDirect. Disponibile online: https://www.sciencedirect.com/topics/medicine-and-dentistry/gadolinium (consultato il 3 novembre 2025).
  16. Fisher, AR; Siegelman, ES Risonanza magnetica per immagini: tecniche. Clin. Liver Dis. 2002 , 6 , 53–72. [ Google Scholar ] [ CrossRef ]
  17. Sethi, AN; Kohli, J.; Patel, AM; Rudnick, MR Nefropatia indotta da mezzo di contrasto. In Nephrology Secrets , 4a ed.; Elsevier: Amsterdam, Paesi Bassi, 2019; pp. 94–98. [ Google Scholar ] [ CrossRef ]
  18. Klassen, C.; Nguyen, M.; Siuciak, A.; Wilke, NM Imaging di perfusione di primo passaggio con risonanza magnetica per la rilevazione della malattia coronarica. Eur. J. Radiol. 2006 , 57 , 412–416. [ Google Scholar ] [ CrossRef ] [ PubMed ]
  19. Kumar, A.; Singh, RK; Kumar, K.; Kumar, N.; Aman, AK; Bikramaditya, B. Proprietà strutturali, optoelettroniche, magnetiche e di fotoluminescenza dei nanomateriali di granato di ferro di samario e gadolinio per applicazioni LED e optoelettroniche. Discov. Mater. 2025 , 5 , 160. [ Google Scholar ] [ CrossRef ]
  20. Deliormanlı, AM; Ensoylu, M.; Issa, SAM; Rammah, YS; ALMisned, G.; Tekin, HO Un esame approfondito dei vetri bioattivi di silicato contenenti gadolinio (III): sintesi, proprietà fisiche, meccaniche, elastiche e di attenuazione delle radiazioni. Appl. Phys. A 2022 , 128 , 266. [ Google Scholar ] [ CrossRef ]
  21. GB/T 16584 ; Gomma. Misurazione delle caratteristiche di vulcanizzazione con curometri senza rotore. Norme nazionali della Repubblica Popolare Cinese: Pechino, Cina, 1996.
  22. ISO 6504 ; Pitture e vernici - Determinazione del potere coprente. Organizzazione internazionale per la normazione: Ginevra, Svizzera, 2019.
  23. ASTM D412 ; Metodi di prova standard per gomma vulcanizzata ed elastomeri termoplastici - Tensione. ASTM International: West Conshohocken, PA, USA, 2021.
  24. Fröhlich, J.; Niedermeier, W.; Luginsland, HD L'effetto dell'interazione riempitivo-riempitivo e riempitivo-elastomero sul rinforzo in gomma. Compos. Parte A Appl. Sci. Manuf. 2005 , 36 , 449–460. [ Google Scholar ] [ CrossRef ]
  25. Pergal, MV; Dzunuzovic, JV; Poreba, R.; Micic, D.; Stefanov, P.; Pezo, L.; Spirkova, M. Caratterizzazione superficiale e termomeccanica di reti di poliuretano basate su poli(dimetilsilossano) e poliestere iperramificato. Express Polym. Lett. 2013 , 7 , 806–820. [ Google Scholar ] [ CrossRef ]
  26. Dobson, KD; McQuillan, AJ Uno studio spettroscopico infrarosso dell'adsorbimento del carbonato su film sol-gel di biossido di zirconio da soluzioni acquose. Langmuir 1997 , 13 , 3392–3396. [ Google Scholar ] [ CrossRef ]
  27. Ma, J.; La, LTB; Zaman, I.; Meng, Q.; Luong, L.; Ogilvie, D.; Kuan, H. Fabbricazione, struttura e proprietà di nanocompositi epossidici/metallici. Macromol. Mater. Eng. 2011 , 296 , 465–474. [ Google Scholar ] [ CrossRef ]
  28. Madkhali, O.; Kaynar, Ü.H.; Alajlani, Y.; Coban, M.; Guinea, JG; Ayvacikli, M.; Pierson, J.; Can, N. Caratteristiche di luminescenza strutturali e dipendenti dalla temperatura di RE (RE = Eu3+, Dy3+, Sm3+ e Tb3+) nel nuovo fosforo di alluminato di gadolinio e borato. Ceram. Int. 2023 , 49 , 19982–19995. [ Google Scholar ] [ CrossRef ]
  29. Aguila-Toledo, E.; Maldonado-Magnere, S.; Yazdani-Pedram, M.; Bascuñan-Heredia, A.; Dahrouch, signor; Molina, F.; Santana, MH; Verdejo, R.; Lopez-Manchado, MA; Aguilar-Bolados, H. Compositi di fluorosilicone con ossido di grafene funzionalizzato per applicazioni avanzate. Richiesta ACS. Polim. Madre. 2023 , 5 , 7755–7765. [ Google Scholar ] [ CrossRef ]
  30. Veiga, M.; Mattiazzi, P.; de Gois, JS; Nascimento, PC; Borges, DLG; Bohrer, D. Presenza di altri metalli delle terre rare negli agenti di contrasto a base di gadolinio. Talanta 2020 , 216 , 120940. [ Google Scholar ] [ CrossRef ]
  31. Simon, A.; Pepin, J.; Berthier, D.; Méo, S. Meccanismo di degradazione dell'FKM durante l'invecchiamento termo-ossidativo da correlazioni meccaniche e di struttura di rete. Polym. Degrad. Stab. 2023 , 208 , 110271. [ Google Scholar ] [ CrossRef ]
  32. Byrne, RH; Li, B. Comportamento di complessazione comparativo delle terre rare. Geochim. Cosmochim. Acta 1995 , 59 , 4575–4589. [ Google Scholar ] [ CrossRef ]
  33. Maldonado-Magnere, S.; Yazdani-Pedram, M.; Fuentealba, P.; Neira-Carrillo, A.; Lopez-Manchado, MA; Hernandez-Villar, H.; Bascuñan-Heredia, A.; Dahrouch, M.; Aguilar-Bolados, H. Comprendere l'effetto delle dimensioni delle nanopiastrine di grafene sulle proprietà meccaniche e termiche dei compositi a base di fluoroelastomeri. Polymers 2025 , 17 , 2534. [ Google Scholar ] [ CrossRef ] [ PubMed ]
  34. Modulo di perdita: una panoramica | Argomenti di ScienceDirect. Disponibile online: https://www.sciencedirect.com/topics/chemistry/loss-modulus (consultato il 17 ottobre 2025).
  35. Ji, G.; Zhang, P.; Nji, J.; John, M.; Li, G. Compositi autoriparanti basati su polimeri a memoria di forma. In Recent Advances in Smart Self-healing Polymers and Composites ; Woodhead Publishing: Cambridge, Regno Unito, 2015; pp. 293–363. [ Google Scholar ] [ CrossRef ]
  36. Leblanc, JL Interazioni gomma-riempitivo e proprietà reologiche nei composti riempiti. Prog. Polym. Sci. 2002 , 27 , 627–687. [ Google Scholar ] [ CrossRef ]
  37. Roy, K.; Debnath, SC; Pongwisuthiruchte, A.; Potiyaraj, P. Revisione aggiornata sullo sviluppo di compositi di gomma ad alte prestazioni basati su nanotubi di halloysite. Appl. Clay Sci. 2019 , 183 , 105300. [ Google Scholar ] [ CrossRef ]
  38. Gomma caricata: una panoramica | Argomenti di ScienceDirect. Disponibile online: https://www.sciencedirect.com/topics/engineering/filled-rubber (consultato il 17 ottobre 2025).
  39. Nagaraja, SM; Henning, S.; Ilisch, S.; Beiner, M. Origine comune dei contributi correlati alla rete di riempimento al rinforzo e alla dissipazione nei compositi di gomma. Polymers 2021 , 13 , 2534. [ Google Scholar ] [ CrossRef ]
  40. Shaikh, H.; Alothman, OY; Alshammari, BA; Jawaid, M. Proprietà dinamiche e termomeccaniche del polipropilene rinforzato con nanofiller di palma da dattero. J. King Saud Univ.—Sci. 2023 , 35 , 102561. [ Google Scholar ] [ CrossRef ]
  41. Montazeri, A.; Pourshamsian, K.; Riazian, M. Proprietà viscoelastiche e determinazione della frazione di volume libero di un composito di nanotubi di carbonio/epossidico a parete multipla mediante analisi termica meccanica dinamica. Mater. Des. 2012 , 36 , 408–414. [ Google Scholar ] [ CrossRef ]
  42. Eslami, Z.; Elkoun, S.; Robert, M.; Adjallé, K. Una revisione dell'effetto dei plastificanti sulle proprietà fisiche e meccaniche dei film a base di alginato. Molecules 2023 , 28 , 6637. [ Google Scholar ] [ CrossRef ]
  43. Hagita, K.; Morita, H. Effetti delle interazioni polimero/riempitivo sulle temperature di transizione vetrosa dei nanocompositi polimerici riempiti di riempitivo. Polymer 2019 , 178 , 121615. [ Google Scholar ] [ CrossRef ]
  44. Yang, S.; Liang, P.; Peng, X.; Zhou, Y.; Hua, K.; Wu, W.; Cai, Z. Miglioramento delle proprietà meccaniche dei compositi SBR/ceneri volanti mediante reazione di innesto-neutralizzazione in situ. Chem. Eng. J. 2018 , 354 , 849–855. [ Google Scholar ] [ CrossRef ]
  45. Liu, Y.; Wang, J.; Peng, Z.; Xiong, Z.; Zeng, Y.; Fu, X.; Zhang, R.; Hu, S.; Liu, H.; Liu, Q. Modifica avanzata delle ceneri volanti di carbone mediante l'uso di microrganismi corrosivi come gomme fluorurate alternative per il rinforzo del riempitivo. Mater. Lett. 2019 , 246 , 32–35. [ Google Scholar ] [ CrossRef ]
  46. Interazione dei filler: una panoramica | Argomenti di ScienceDirect. Disponibile online: https://www.sciencedirect.com/topics/engineering/filler-interaction (consultato il 17 ottobre 2025).
  47. Waclawska, I. Decomposizione termica del borace. J. Therm. Anal. Calorim. 1995 , 43 , 261–269. [ Google Scholar ] [ CrossRef ]
Disclaimer/Nota dell'editore: le dichiarazioni, le opinioni e i dati contenuti in tutte le pubblicazioni sono esclusivamente quelli dei singoli autori e collaboratori e non di MDPI e/o del/i curatore/i. MDPI e/o il/i curatore/i declinano ogni responsabilità per eventuali danni a persone o proprietà derivanti da idee, metodi, istruzioni o prodotti a cui si fa riferimento nel contenuto.

Condividi e cita

Stile MDPI e ACS

Bascuñan-Heredia, A.; Molina, F.; Inestrosa-Izurieta, MJ; Dahrouch, M.; Henriquez, A.; Cortés, C.; Lopez-Manchado, MA; Aguilar-Bolados, H. Prestazioni meccaniche migliorate di compositi fluoroelastomerici con riempitivi a base di boro-gadolinio per applicazioni all'avanguardia. Polymers 2026 , 18 , 6. https://doi.org/10.3390/polym18010006

Stile AMA

Bascuñan-Heredia A, Molina F, Inestrosa-Izurieta MJ, Dahrouch M, Henriquez A, Cortés C, Lopez-Manchado MA, Aguilar-Bolados H. Prestazioni meccaniche migliorate di compositi fluoroelastomerici con riempitivi a base di boro-gadolinio per applicazioni all'avanguardia. Polimeri . 2026; 18(1):6. https://doi.org/10.3390/polym18010006

Stile Chicago/Turabian

Bascuñan-Heredia, Allan, Francisco Molina, Maria José Inestrosa-Izurieta, Mohamed Dahrouch, Adolfo Henriquez, Catalina Cortés, Miguel Angel Lopez-Manchado e Héctor Aguilar-Bolados. 2026. "Prestazioni meccaniche migliorate dei compositi fluoroelastomerici con riempitivi a base di boro-gadolinio per applicazioni all'avanguardia" Polimeri 18, n. 1: 6. https://doi.org/10.3390/polym18010006

Stile APA

Bascuñan-Heredia, A., Molina, F., Inestrosa-Izurieta, MJ, Dahrouch, M., Henriquez, A., Cortés, C., Lopez-Manchado, MA, e Aguilar-Bolados, H. (2026). Prestazioni meccaniche migliorate di compositi fluoroelastomerici con riempitivi a base di boro-gadolinio per applicazioni all'avanguardia. Polimeri , 18 (1), 6. https://doi.org/10.3390/polym18010006

Si noti che, a partire dal primo numero del 2016, questa rivista utilizza i numeri degli articoli anziché quelli delle pagine. Per ulteriori dettagli, vedere qui .

Nessun commento:

Posta un commento